![]() |
![]() |



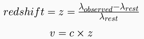
Redshift and Velocity (using Doppler Effect)Spectral line from a light source shifts in wavelength with motion:
![]() Quiz 19a |
![]() |
Hubble's LawIn 1920,
Edwin Hubble discovered that more distant galaxies
have larger recession velocities, following the relation
![]() The constant H that relates the recession speed V and distance
D is refereed to as the Hubble constant.
Turning this around, one can infer the distance of a galaxy
with measured recession speed V as D = V/H. For the recession
velocity in km/s, H = 72
gives D in megaparsecs (Mpc; million parsecs).
A crude age estimate of the universe
can be derived as t = D/V = 1/H.
Such a calculation suggests the age of universe between 12 and 15
billion years. Quiz 19b |
![]() |
![]() |
|
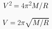
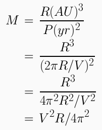
Rotation curve data for an edge-on spiral in the Coma cluster (obtained by
N. Vogt (NMSU) using the Palomar 5m telescope):
![]() |
![]() |